• Contact us
  • Career
  • Terms and Conditions
  • Payment form
  • DE
  • EN
  • CN

Black cat logo Langer EMV-Technik

  • About us
    • Company
      • Career
      • Terms and Conditions
      • Company Profile
      • Milestones
    • Distributors
      • Asia
      • Europe
      • North America
    • Contact us
    • Map and Travel Information
    • Sponsoring
    • Events
    • Payment form
  • Products
    • PCB Immunity
      • Immunity Development System
      • Mini Burst Field Generators
      • Accessory EFT/Burst generators IEC 61000-4-4
      • Optical Signal Transmission
      • Burstdetector
    • PCB Emission
      • Measurement Technology for the Development Stage
      • Near-Field Probes
      • Preamplifier
      • Near-Field Microprobes
      • Optical Signal Transmission
    • IC Test System
      • IC Test Environment
      • Emission
      • Immunity
      • Simulation
    • IC Security
      • Fault Injection
      • Side-channel analysis
      • Positioning systems
    • Positioning Systems
      • Langer Scanner
      • Accessories for Langer Scanner
      • Near-field Scanner Probes
    • Software
      • CS-Scanner, ChipScan-Scanner Software / USB
      • CS-ESA set, ChipScan-ESA Software / USB
    • Measuring and Calibration Stations
      • PCB
      • IC
      • Connector
    • Equipment for Teaching and Training
      • EMC-Basic 1 set, Demonstration Boards Mini Burst Field Generators
      • EMC-Basic 2 set, Demonstration Boards Near-Field Probes
      • DB 20 set, Demo Board 20
      • D10 set, EMC Demonstration Board
  • Seminars
    • SF-GE, Experimental EMC Seminar - Interference Immunity - Basics & Troubleshooting (3 days)
    • SA-GE, Experimental EMC Seminar - Interference Emission - Basics and Troubleshooting (3 days)
    • SF IHS, Experimental EMC Inhouse Seminar - Interference Immunity 3 days
    • SA IHS, Experimental EMC Inhouse Seminar - Emission 2 days
    • Dates Overview
  • Services
    • EMC Workshops
      • WS ESA1, Workshop for Development System Emission
      • WS IC, EMC Workshop for Integrated Circuits
      • WS PCB, EMC-Workshop for Immunity and Emission
      • WS Scanner, Workshop for Langer Scanner
    • IC-EMC Analysis
      • Emission
      • Immunity
    • EMC Analysis
      • SMM Langer, Measuring of electromagnetic Shielding according to Langer method
      • COCI, Measurement of the Coupling Inductance of Connectors and Cables
    • EMV-B, EMC-Consulting / Hour
  • EMC Know-How
    • Downloads
    • Technical article Board-EMC
      • Basic Knowledge
      • Immunity
      • Emission
    • Technical article IC-EMC
      • Basic Knowledge
      • Immunity
      • Emission
    • Langer EMV-Technik in scientific research
    • Newsletter
      • 17 ESA1 set
      • 16 ICI-DP sets
      • 15 tent and GP 23 set
      • 14 Mini Burst Field Generators in pocket size
      • 13 Achieve interference immunity by identifying and eliminating EMC weak points:
      • 12 ICR: Near-field analysis in the micrometer range and its advantages
      • 11 ChipSan-ESA now supports more measuring devices
      • 10 P512 and DPI
      • 09 Surface Scan on IC Level with high Resolution
      • 08 ESD and Efficient Electronic Design
      • 07 EMC Measurement Technology for Testing Integrated Circuits - An Introduction
      • 06 Measuring the Shielding Effectiveness at IC Level with the IC Test System P1402/P1502
      • 05 Time and cost savings when recording and documenting RF measurements with a spectrum analyzer
      • 04 Radiated Emissions at the PCB Level - An Introduction
      • 03 Interference suppression on a direct-current motor controlled by PWM
      • 02 XF sniffer probes and LVDS suppression
      • 01 MFA micro probes and LVDS suppression
    • Videos
      • How-to videos
      • EMC Webinar
  • PCB Immunity
  • PCB Emission
  • IC Test System
    • IC Test Environment
    • Emission
      • P603-1 / P750 setRF Conducted Measurement IEC 61967-4, 1 Ohm / 150 Ohm
      • P603 / P750 setRF Conducted Measurement Analysis, 1 Ohm / 150 Ohm
      • S603 / S750 set1 Ohm / 150 Ohm, Conducted RF Measurement acc. IEC 61967-4
      • P1601 / P1702 setRF Field Emission up to 1 GHz
      • P1602 / P1702 setRF Field Emission up to 3 GHz
    • Immunity
    • Simulation
  • IC Security
  • Positioning Systems
  • Software
  • Measuring and Calibration Stations
  • Equipment for Teaching and Training
  • Products
  • IC Test System
  • Emission
  • ESA1 set, Emission Development System
  • HFW 21, RF Current Transformer

HFW 21

RF Current Transformer

  • Short description
  • Technical parameters
Send enquiry Datasheet
  • HFW 21, RF Current Transformer
  • Application
    Application
HFW 21, RF Current Transformer Application
  • HFW 21, RF Current Transformer
  • Application
Short description

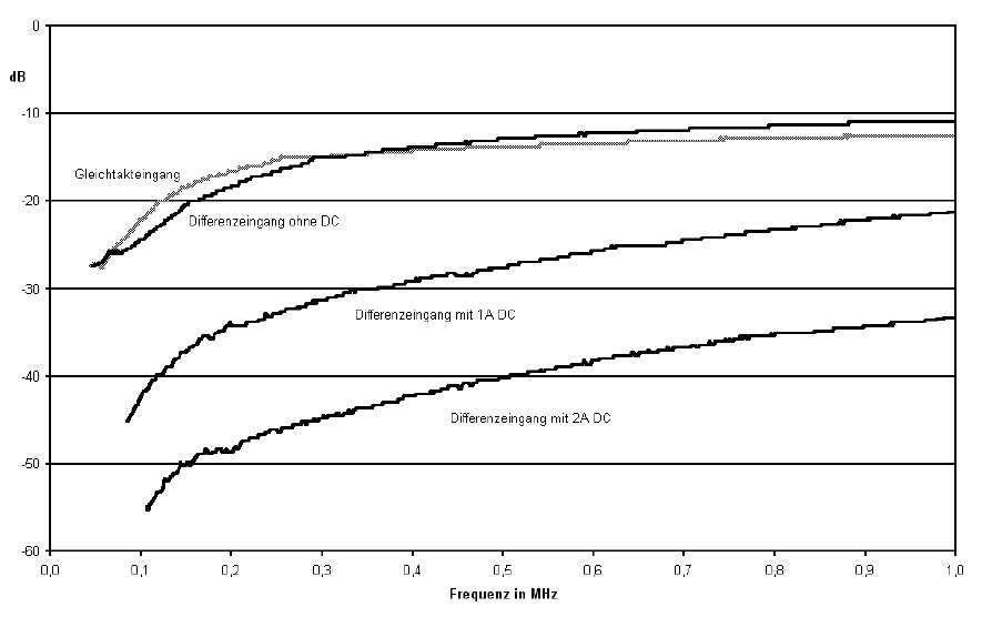
The RF current transformer measures high-frequency currents within the device under test. It discharges the currents on the ground plane and allows for the separate measurements of common-mode current and differential-mode current. This can be helpful for the improvement of switching-power supplies. The output signal of the HFW 21 can be amplified by the PA 203 or PA 303 preamplifier.

To use the HFW 21 RF current-transformer it must be connected to the power supply of the device under test. Interferences along the power supply lines are measured by HFW 21. The measuring signal is transmitted to a spectrum analyzer. The current transformer’s contact surface must be connected to the GP 23 when measuring.

Technical parameters
Frequency range 100 kHz - 1 GHz
Continuous power rating
Current 10 A
Dielectric strength 50 V
Sizes (L x W x H) (115 x 65 x 28) mm
Frequency response Frequency response Frequency response
Frequency response (detail) Frequency response (detail) Frequency response (detail)
  • © Langer EMV-Technik
  • Contact us
  • Legal notice
  • Privacy policy
  • Sponsoring
  • facebook
  • YouTube
  • Linked-In
  • Twitter
Europäischer Fonds für regionale Entwicklung EFRE - Europäischer Sozialfonds ESF